Home
About Us
People & Contacts
Programs & Activities
Thematic & Focus Programs
General Scientific Activity
Commercial & Industrial Programs
Centre for Mathematical Medicine
Mathematics Education
Outreach
Calendar of Events
Mailing List
Fields
Live
Video Archive
Proposals & Applications
Honours, Prizes & Fellowships
Publications
Resources and Facilities
SCIENTIFIC PROGRAMS AND ACTIVITIES
February 16, 2026
Conference Talks
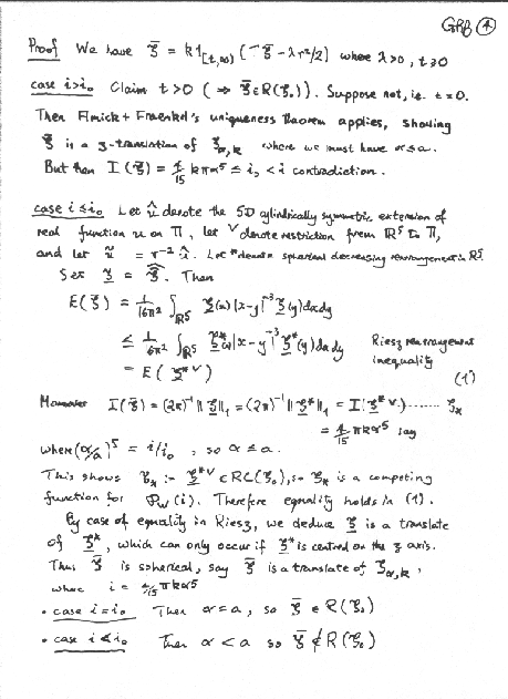
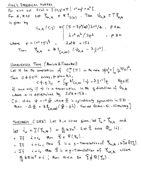
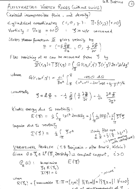
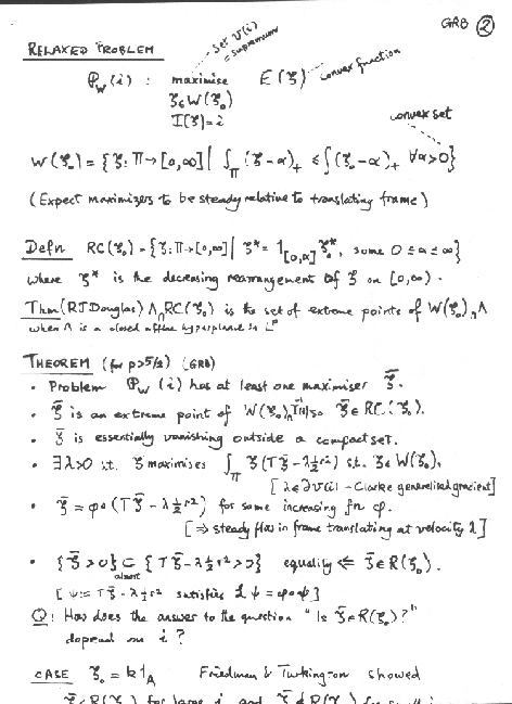
Geoffrey Burton
, University of Bath
Rearrangements and vortex rings
Talk slides
Cover
Click on thumbnail to view
Page 1
Click on thumbnail to view
Page 2
Click on thumbnail to view
Page 3
Click on thumbnail to view
Page 4
Click on thumbnail to view
Back to schedule